mos線性閾值模型
信息來源:本站 日期:2017-07-06
MOSFET按比例減少MOSFET尺寸的縮減在一開端即為一持續的趨向.在集成電路中,較小的器件尺寸可到達較高的器件密度,此外,較短的溝道長度町改善驅動電流(ID~1/L)以及工作時的特性,但是,由于電子器件尺寸的縮減,溝道邊緣(如源極、漏極及絕緣區邊緣)的擾動將變得愈加重要,因而器件的特性將不再恪守長溝道近似(long channel approximation)的假定.
6.3.1 短溝道效應(short-channel effect)式(45)中的閾值電壓是基于6.2,l節中的突變溝道近似推導得出的,也即襯底耗盡區內的電荷僅由柵極電壓產生的電場所感應出.換言之,式(45)中的第三項與源極到漏極間的橫向電場無關.但是隨著溝道長度的縮減,源極與漏極問的電場將會影響電荷散布、閾值電壓控制以及器件漏電等器件特性,
當溝道的邊緣效應變得不可疏忽時,隨著溝道的縮減,n溝道MOSFET的閾值電壓通常會變得不像原先那么正,而關于p溝道MOSFET而言,則不像原先那么負,圖6.23顯現了在VDS=o.05V時VT下跌的現象.閾值電壓F跌可用如圖6.24所示的電荷共享(chargesharing)模型來加以解釋,此圖為一個n溝道MOSFET的剖面圖,且器件工作在線性區(VDs≤o.1V),因而漏極結的耗盡區寬度簡直與源極結相同.由于溝道的耗盡區與源極和漏極的耗盡區堆疊,由柵極偏壓產生的電場所感應生成的電荷可用這梯形區域來近似同等.
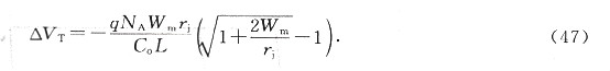
閾值電壓漂移量AVT是由于耗盡區由長方形LXWm變為梯形(L+L‘) Wm/2,而使得電荷減少所形成的.△VT為(參考習題27):
二、漏場感應勢壘降落
當短溝道MOSFET的漏極電壓由線性區增至飽和區時,其閾值電壓下跌將更嚴重(如圖6.23所示).此效應稱為舞場感應勢壘降落.數個不同溝道長度的n溝道器件的源極與漏極間的外表電勢如圖6.25所示,點線為VDS=o,實線為VDS>o.當柵極電壓小于VT時,p—型硅襯底在n+源極與漏極問構成一勢壘,并限制電子流由源極流向漏極.對工作在飽和區的器件而言,漏極結的耗盡區寬度遠大于源極結,在長溝道的例子中,增加漏極結耗盡區寬度并不會影響勢壘高度(參閱圖6.25中lμm的例子).但當溝道長度足夠短時,漏極電壓的增加將減小勢壘高度(圖6.25中o.3μm與o.5μm的例子),此歸因于漏極與源極太接近所形成的外表區的電場浸透,此勢牟降低效應會招致電子由源極注入漏極,形成亞閾值電流的增加.因而在短溝道器件中,閡值電壓會隨漏極電壓增加而降低.

三、本體穿通
DIBL形成在Si02/Si的界面構成漏電途徑,當漏極電壓足夠大時,可能也會有顯著的漏電流由源極經短溝道MOSFET的本體流至漏極,此也可歸因于漏極結耗盡區的寬度會隨著漏極電壓增加而擴張.在短溝道的MOSFET中,源極結與漏極結耗盡區寬度的總和與溝道長度相當.當漏極電壓增加時,漏極結的耗盡區逐步與源極分離并,因而大量的漏極電流可能會由漏極經本體流向源極。圖6.27為短溝道MOSFET(L=0.23μm)的亞閾值特性.當漏極電壓由0.1V增加至IV時,DIBL所形成亞閾值特性的平行位移如圖6,26(b)所示;而當漏極電壓再增加至4v時,其亞閾值擺幅將遠大于低漏極偏壓時的值,因而,器件將會有十分高的漏電流,這也顯現出本體穿通效應相當顯著,柵極不再可以將器件完整關閉,且無法控制漏極電流,高漏電流將限制短溝道MOSFET器件的工作
聯系方式:鄒先生
聯系電話:0755-83888366-8022
手機:18123972950
QQ:2880195519
聯系地址:深圳市福田區車公廟天安數碼城天吉大廈CD座5C1
請搜微信公眾號:“KIA半導體”或掃一掃下圖“關注”官方微信公眾號
請“關注”官方微信公眾號:提供 MOS管 技術幫助