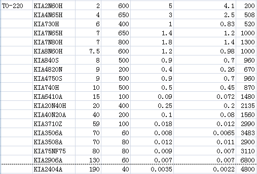
常用n型mos管型號大全 型號參數等
信息來源:本站 日期:2017-10-11
mos管采用絕緣柵結構的晶體三極管,輸入阻抗高,輸出呈電阻態。現在用途廣泛,包括電視機高頻頭(高頻,小電流)到開關電源(高壓大電流),現在把MOS和雙極型(普通三極管)復合在一起(IGBT,絕緣柵雙極型晶體管),廣泛應用于大功率領域。
相關搜索:
聯系方式:鄒先生
聯系電話:0755-83888366-8022
手機:18123972950
QQ:2880195519
聯系地址:深圳市福田區車公廟天安數碼城天吉大廈CD座5C1
關注KIA半導體工程專輯請搜微信號:“KIA半導體”或點擊本文下方圖片掃一掃進入官方微信“關注”
長按二維碼識別關注